徠卡顯微鏡謹防“空”放大
在Zui簡單的情況下,一個光學顯微鏡包括一個透鏡靠近試樣(物鏡)和一個透鏡靠近眼睛(目鏡)的。?顯微鏡放大倍率的兩個顯微鏡透鏡的因子的乘積。?40倍物鏡和10X目鏡,例如,提供一個放大400倍。
光波定義限制
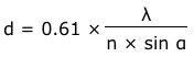
然而,這不是唯一的放大率,而且分辨率,指示表現能力的光學顯微鏡。?分辨率分別呈現兩個緊密相鄰點的能力。?根據瑞利判據,能夠分別成像的兩個點之間的Zui小距離對應的光的大約二分之一波長。

λ=光的波長?
N =試樣和物鏡之間的介質的折射率?
α=物鏡的半開口角
?
因此,藍光,分辨率極限大約為D = 0.2微米;?紅燈,周圍的D = 0.35微米。?UV物鏡達到的分辨率不到0.2微米。用肉眼,我們不能區分結構小于0.2毫米以下。
n×sinα值對應于數值孔徑(NA)中,光收集能力的量度和物鏡的分辨率。?由于孔徑角不能超過90°,折射率是從不小于1(N?空氣?= 1),NA是總是圍繞1為空氣。?當浸沒油被用于(N> 1),數值孔徑增加(高達約1.45),并與它一起,的分辨率。(奧林巴斯顯微鏡)

圖1:可見光的光譜
?

圖2:物鏡的數值孔徑決定了圖像的細節分辨率和亮度
更多的放大倍率并不總是更好
為了使微觀分辨率檢測到眼睛,圖像出現在與相應的放大倍率目鏡。?分辨率和放大倍率總是直接相互依存的。具有低放大倍數的物鏡具有低的數值孔徑,因此低分辨率。?對于高放大倍數的物鏡,數值孔徑也很高,通常為0.8一40×干物鏡。?但是,因為數值孔徑不能增加到超過某一點時,可使用的放大倍率范圍也被限制在經典光顯微鏡。?“有用”顯微鏡放大倍數為500×NA和1000×NA之間。
一些光顯微鏡擁有巨大的放大倍率,但實際上來說,極限是剛下1,400x。?專家稱一切都超出了“空放大。”?雖然結構出現較大,但沒有額外的細節都解決了。
?
圖3:硬金屬,用10%的鈷(亞微米結構中,0.6微米的初始顆粒尺寸),用于生產重型工具。?左:用干的物鏡來看,NA = 0.90;?右:用油浸物鏡觀察,NA = 1.30(康拉德·弗里德里希GMBH&CO。KG,庫姆巴赫,德國提供)